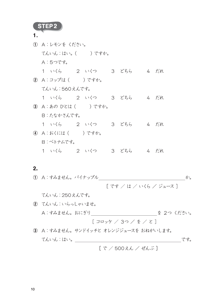
✨Tsunagu Nihongo Tiếng Nhật Kết Nối - Sơ Cấp 1, Sách Bài Tập - Tsuji Azuko, Katsura Miho, Kojima Minako
Mua tại Shopee
Mua tại Tiki
Mua tại Lazada
Mua tại Tiktok- Giới thiệu tóm tắt tác phẩm:
Giáo trình được biên soạn nhằm giúp người học giao tiếp bằng tiếng Nhật tốt hơn trong các hoạt động xã hội. Các tình huống học tập trong giáo trình là những tình huống thường được sử dụng để giao tiếp trên thực tế, được lựa chọn từ các lĩnh vực trong đời sống sinh hoạt, trường học và xã hội. Cách học được tổ chức theo hình thức đặc biệt ưu tiên việc "Giao tiếp" hơn là "Hiểu" từ vựng và ngữ pháp. [Hội thoại tình huống -> Xác nhận mẫu câu -> Luyện tập mẫu câu -> Hội thoại ứng dụng] Giáo trình bao gồm 2 sách giáo khoa sơ cấp 1, 2, hai quyển Work book sơ cấp 1,2 và 1 quyển Bản dịch và giải thích ngữ pháp.
Mua tại Shopee
Mua tại Tiki
Mua tại Lazada
Mua tại TiktokTiếng Nhật Cho Mọi Người - Trình Độ Sơ Cấp 1 - Bản Tiếng Nhật - (Tái Bản) “Minna no Nihongo” là bộ giáo trình sơ cấp dành cho những ai muốn tìm hiểu về
Sổ Tay Đàm Thoại Tiếng Nhật Du Học Và Du Lịch (Kèm CD) Đây là cuốn sổ tay nhỏ, thuận tiện mang theo bên mình hữu ích dành cho những ai bước đầu đến Nhật.Sổ
19 Vấn Đề Nghe Không Hiểu Tiếng Nhật Bao gồm các từ thường sử dụng: trong bài, chọn ra các từ có tần suất sử dụng cao, kết hợp với hình minh họa sinh động,
Tiếng Nhật là một trong những ngôn ngữ khó nhất thế giới! Chính vì vậy, nếu muốn học tiếng Nhật nhanh chóng và hiệu quả, bạn cần học một cách bài bản, đúng lộ trình
Tiếng Nhật Cho Mọi Người - Sơ cấp 1: Viết - Nhớ Các Mẫu Câu Nhà xuất bản : NXB Trẻ. Công ty phát hành : NXB Trẻ. Tác giả : Hirai Etsuko. Kích thước
Giao Tiếp Tiếng Nhật Trong Kinh Doanh - Basic 1 Nhật Bản là quốc gia đứng đầu về tổng vốn ODA đầu tư vào Việt Nam. Làn sóng đầu tư mạnh mẽ của các doanh
Marugoto - Ngôn Ngữ Và Văn Hóa Nhật Bản Sơ-Trung Cấp A2/B1 Marugoto là một giáo trình công phu và đầy tâm huyết của Nhật Bản với mong muốn phổ cập và nâng cao tiếng
Tiếng Nhật chuyên ngành điều dưỡng dành cho người mới bắt đầu - Kiến thức đời sống & giao tiếp ------------ Nằm trong bộ sách “Tiếng Nhật chuyên ngành điều dưỡng”, bao gồm “Từ vựng
Giới thiệu sách Giáo trình được biên soạn nhằm giúp người học giao tiếp bằng tiếng Nhật tốt hơn trong các hoạt động xã hội. Các tình huống học tập trong giáo trình là những
900 Câu Giao Tiếp Tiếng Nhật Thông Dụng (Kèm CD) Cuốn sách được biên soạn nhằm phục vụ nhu cầu và bù đắp được kiến thức cho bạn, cuốn sách bố cục làm 3 phần:
Hikari - 30 Phút Tự Học Tiếng Nhật Mỗi Ngày (Sách Hai Màu) Nhu cầu học tiếng Nhật ngày càng tăng, Tuy nhiên với những người không có thời gian và điều kiện tới các
Hikari - Tiếng Nhật Giao Tiếp Thế Kỷ 21 Nhu cầu tìm hiểu về văn hoá Nhật Bản, đến Nhật du lịch và tìm kiếm cơ hội việc làm tại các công ty của Nhật
Tiếng Nhật Thật Đơn Giản Trong Giao Tiếp Hàng Ngày - Sơ Cấp 2 Với những người muốn học tiếng Nhật hay bất kỳ một ngôn ngữ nào khác thì việc lựa chọn cho mình
1800 Câu Đàm Thoại Tiếng Nhật Thông Dụng tuyển tập đầy đủ nhất các quán ngữ tiếng Nhật thông dụng nhất, được viết ra nhằm giúp cho người học sử dụng trong hoạt động giao tiếp
Quyển “Các mẫu câu tiếng Nhật căn bản” được biên soạn dành cho các bạn học sinh, sinh viên và những người đã đi làm có sự quan tâm đến tiếng Nhật. Sách bao gồm
Marugoto là một giáo trình công phu và đầy tâm huyết của Nhật Bản với mong muốn phổ cập và nâng cao tiếng Nhật cho người nước ngoài ở khắp thế giới. Giáo trình được
Giao Tiếp Tiếng Nhật Trong Kinh Doanh - Basic 2 Nhật Bản là quốc gia đứng đầu về tổng vốn ODA đầu tư vào Việt Nam. Làn sóng đầu tư mạnh mẽ của các doanh
Marugoto - Ngôn Ngữ Và Văn Hóa Nhật Bản - Trung Cấp 2 B1 Ngày nay, khi quá trình toàn cầu hóa diễn ra ngày càng mạnh mẽ thì việc người ta có nhu cầu
Tiếng Nhật Chuyên Ngành Điều Dưỡng Dành Cho Người Mới Bắt Đầu - Từ Vựng Cơ Bản Nằm trong bộ sách Tiếng Nhật chuyên ngành điều dưỡng. Quyển "Từ vựng cơ bản" này là tổng
Mã hàng 8934974181170 Tên Nhà Cung Cấp NXB Trẻ Tác giả Mitsuhashi Asako, Maruyama Makiko, Horiuchi Takako, Nishi Mikako Người Dịch Lê Lệ Thủy NXB NXB Trẻ Năm XB 2022 Ngôn Ngữ Tiếng Việt Trọng
Tiếng Nhật Xã Giao Hằng Ngày (Kèm CD) Hiện nnay tiếng Nhật trở nên phổ biến và quen thuộc đối với con người Việt Nam. Theo đó nhu cầu học tập tiếng Nhật ngày càng
Tác Giả: Nhiều tác giả Ngày phát hành: 2020 Số trang: 320 Kích thước: 19 x 26 cm NXB: NXB Đại học Quốc gia Giá bìa: 258.000VND Nhật Bản là quốc gia đứng đầu về
Giáo trình chính Tiếng Nhật cho mọi người bao gồm Giáo trình Sơ cấp I và Sơ cấp II Bản tiếng Nhật - 2 quyển và Bản dịch và Giải thích ngữ pháp Sơ cấp I và
Tiếng Nhật chuyên ngành điều dưỡng dành cho người mới bắt đầu - Kiến thức cơ bản ------------ Nằm trong bộ sách “Tiếng Nhật chuyên ngành điều dưỡng”, bao gồm “Từ vựng cơ bản”,
Sách nằm trong bộ Minna no Nihongo - Tiếng Nhật dành cho mọi người - Bản mới. Là sách bổ trợ giúp người học nâng cao kỹ năng nghe thông qua các bài tập nghe,
Tiếng Nhật Cho Mọi Người - Sơ Cấp 2 - Tiếng Nhật Tại Hiện Trường Làm Việc - Phần Ứng Dụng Giáo trình giúp học viên biết cách sử dụng tiếng Nhật chính xác trong
Tiếng Nhật Cho Mọi Người - Sơ Cấp 2 - Tiếng Nhật Tại Hiện Trường Làm Việc - Phần Ứng Dụng ------------ Tiếng Nhật Cho Mọi Người - Sơ Cấp 2 - Tiếng Nhật
Nhu cầu tìm hiểu về văn hoá Nhật Bản, đến Nhật du lịch và tìm kiếm cơ hội việc làm tại các công ty của Nhật trở nên cấp thiết, đồng thời nhu cầu học
- Giới thiệu tóm tắt tác phẩm: Giáo trình được biên soạn nhằm giúp người học giao tiếp bằng tiếng Nhật tốt hơn trong các hoạt động xã hội. Các tình huống học tập trong
- Giới thiệu tóm tắt tác phẩm: Giáo trình được biên soạn nhằm giúp người học giao tiếp bằng tiếng Nhật tốt hơn trong các hoạt động xã hội. Các tình huống học tập trong
Kỳ Thi Năng Lực Nhật Ngữ JLPT - N4 Point & Practice - Nghe Hiểu Giáo trình này là tập hợp những dạng đề giúp người thi có đủ năng lực tối thiểu cần thiết
Kỳ Thi Năng Lực Nhật Ngữ JLPT - N4 Point & Practice - Ngữ Pháp Giáo trình này là tập hợp những dạng đề giúp người thi có đủ năng lực tối thiểu cần thiết
"Đặc Điểm Ngữ Âm Và Quy Tắc Phát Âm Trong Tiếng Nhật – Chìa Khóa Chinh Phục Ngôn Ngữ Nhật Bản" Bạn có bao giờ tự hỏi tại sao người Nhật phát âm một số
2000 Câu Giao Tiếp Nhật - Việt (Kèm CD) Phần đầu của tài liệu này trình bày các từ loại thường dùng, những câu ngắn, đơn giản nhưng rất thông dụng, tiếp theo là các
Hakari - Tiếng Nhật Giao Tiếp Dành Cho Mọi Người Chắc hẳn đối với những người lần đầu tiên học tiếng Nhật giao tiếp thì hầu như đều có những thắc mắc: - Làm sao
Marugoto A1 - Hoạt Động Giao Tiếp Giáo trình Marugoto - Ngôn ngữ và Văn hóa Nhật Bản được triển khai dựa trên Chuẩn Giáo dục tiếng Nhật JF. Tựa đề Marugoto, có nghĩa là
Giáo Trình Giao Tiếp Tiếng Nhật Hiện Đại Bạn đang rất muốn học tiếng Nhật nhưng lại không biết bắt đầu từ đâu? Bạn đã bắt đầu học tiếng Nhật nhưng rồi bỏ cuộc vì
Bạn đã học qua tiếng Nhật nhưng rồi bạn nhận ra rằng thật khó để nhớ hết được những kiến thức phức tạp và khi đối diện những tình huống thực tế thì bạn lại
Cuốn sách “ Tự Học Tiếng Nhật Cấp Tốc Trong 30 Ngày ” này là một cẩm nang cần thiết cho các bạn sinh viên, học sinh, các bạn đi công tác, lao động và học tập
Cuốn “Tiếng Nhật dành cho người đi du lịch” bao gồm các chủ đề thiết thực và liên quan đến đời sống hàng ngày. Chủ đề được thiết kế một cách sáng tạo và đem
1. 1800 Câu Đàm Thoại Tiếng Nhật Thông Dụng Tác Giả: Nhiều tác giả Ngày phát hành: 2020 Số trang: 304 Kích thước: 14.5 x 20.5 cm NXB: NXB Đại Học Quốc Gia Giá bìa:
Tiếng Nhật Cho Moi Người Trình Độ Sơ Cấp 1 - 25 Bài Luyện Nghe (Kèm CD) Nhà xuất bản : NXB Trẻ. Công ty phát hành : NXB Trẻ. Tác giả : Tanaka Yone.
Tiếng Nhật Cho Mọi Người - Sơ Cấp: Tập Viết Theo Chủ Đề Với Các Bài Văn Mẫu (Bản mới) Nhà xuất bản : NXB Trẻ. Công ty phát hành : NXB Trẻ. Tác giả
TIẾNG NHẬT CHO MỌI NGƯỜI SƠ CẤP BẢN MỚI: TẬP VIẾT THEO CHỦ ĐỀ VỚI CÁC BÀI VĂN MẪU
Tiếng Nhật Cho Mọi Người Sơ Cấp 1 - Viết - Nhớ Các Mẫu Câu Sách nằm trong bộ Minna no Nihongo - Tiếng Nhật dành cho mọi người - Bản mới. Được thiết kế
Cuốn sách “Tiếng Nhật công nghệ thông tin trong ngành phần mềm” là lời giải cho bài toán “Học tiếng Nhật thế nào để có thể ứng dụng ngay được vào công việc”. Nội dung
Nằm trong bộ sách “Tiếng Nhật chuyên ngành điều dưỡng”, bao gồm “Từ vựng cơ bản”, “Kiến thức cơ bản” và “Kiến thức đời sống và Giao tiếp”. Quyển "Kiến thức cơ bản" này là
Marugoto - Ngôn Ngữ Và Văn Hóa Nhật Bản - Sơ Cấp 1 - A2 - Hoạt Động Giao Tiếp Tiếp nối cho giáo trình Marugoto - Ngôn ngữ và Văn hóa Nhật Bản cấp
Tác Giả: The Japan Foundation Công ty phát hành: First News - Trí Việt Ngày phát hành: 2019 Số trang: 148 Kích thước: 20.5 x 28.5 cm NXB: NXB Đại học Quốc gia Giá bìa:
Cuốn sách “Tiếng Nhật công nghệ thông tin trong ngành phần mềm” là lời giải cho bài toán “Học tiếng Nhật thế nào để có thể ứng dụng ngay được vào công việc”. Nội dung
Hiện nay, mối quan hệ giữa Việt Nam và Nhật Bản đang phát triển nhanh chóng về mọi mặt, đặc biệt là trên lĩnh vực công nghệ thông tin. Cùng với đó, nhu cầu nhân
Mã hàng 8935280914506 Tên Nhà Cung Cấp Thái Hà Tác giả Komaki Michiko, Nguyễn Thị Khánh, Đặng Khải Hoàn, Đinh Thị Hằng
Giới thiệu tóm tắt tác phẩm: Giáo trình giúp học viên biết cách sử dụng tiếng Nhật chính xác trong các tình huống và bối cảnh thường gặp trong thực tế tại các công ty,
Hikari - 30 Phút Tự Học Tiếng Nhật Mỗi Ngày Nhu cầu học tiếng Nhật ngày càng tăng, Tuy nhiên với những người không có thời gian và điều kiện tới các trung tâm
Tác giả: AOTS - The Association For Overseas Technical Scholarship Khổ sách: 19x26cm Số trang: 124 Giá bán: 70,000 VNĐ ISBN: 978-604-1-23330-0 In lần thứ 1 năm 2023 NXB: NXB Trẻ NPH: NXB Trẻ Giới
Giáo Trình Tiếng Nhật Tổng Hợp Dành Cho Người Việt Sơ Cấp - Tập 2 (Kèm CD) Có thể nói thời đại hiện nay chính là thời đại quốc tế hóa và việc giáo dục
1800 Câu Đàm Thoại Tiếng Nhật Thông Dụng 1800 Câu Đàm Thoại Tiếng Nhật Thông Dụng tuyển tập đầy đủ nhất các quán ngữ tiếng Nhật thông dụng nhất, được viết ra nhằm giúp cho người
- Giới thiệu tóm tắt tác phẩm: Giáo trình được biên soạn nhằm giúp người học giao tiếp bằng tiếng Nhật tốt hơn trong các hoạt động xã hội. Các tình huống học tập trong
- Giới thiệu tóm tắt tác phẩm: Giáo trình được biên soạn nhằm giúp người học giao tiếp bằng tiếng Nhật tốt hơn trong các hoạt động xã hội. Các tình huống học tập trong
Tsunagu Nihongo - Tiếng Nhật Kết Nối - Sách Bài Tập Sơ Cấp 1 Giáo trình được biên soạn nhằm giúp người học giao tiếp bằng tiếng Nhật tốt hơn trong các hoạt động xã
👁️ 242 | ⌚2025-09-29 19:43:14.323
1H nhớ ngay BẢNG CHỮ KATAKANA tiếng Nhật - Học Tiếng Nhật cùng Minato
CHỈ 1H45P thuộc ngay TOÀN BỘ BẢNG CHỮ CÁI HIRAGANA tiếng Nhật - Học tiếng Nhật cùng Minato
Ngữ pháp Minna 1 - Bài 4 - Học Tiếng Nhật Minna No Nihongo 1 | Học tiếng nhật cơ bản N5 miễn phí
Ngữ pháp Minna 1 - Bài 1 - Học Tiếng Nhật Minna No Nihongo 1 | Học tiếng nhật cơ bản N5 miễn phí
Chữa sách bài tập Minna (みんなの日本語初級I・標準問題集)| Bài 1, 2 | Học tiếng Nhật miễn phí với Minh Dokkai
Sách bài tập Minna no nihongo sơ cấp tập 2 bản mới

1H nhớ ngay BẢNG CHỮ KATAKANA tiếng Nhật - Học Tiếng Nhật cùng Minato
CHỈ 1H45P thuộc ngay TOÀN BỘ BẢNG CHỮ CÁI HIRAGANA tiếng Nhật - Học tiếng Nhật cùng Minato
Ngữ pháp Minna 1 - Bài 4 - Học Tiếng Nhật Minna No Nihongo 1 | Học tiếng nhật cơ bản N5 miễn phí
Ngữ pháp Minna 1 - Bài 1 - Học Tiếng Nhật Minna No Nihongo 1 | Học tiếng nhật cơ bản N5 miễn phí
Chữa sách bài tập Minna (みんなの日本語初級I・標準問題集)| Bài 1, 2 | Học tiếng Nhật miễn phí với Minh Dokkai
Sách bài tập Minna no nihongo sơ cấp tập 2 bản mới

* Đeo bạc rất tốt cho sức khỏe của bé tại sao vậy ? - Trong khi ngủ hoặc hoạt động, vận động nhiều cơ thể trẻ tiết ra mồ hôi đây chính là các
Thiết kế độc đáo: Thắt lưng nam Ciartuar BH1498 với thiết kế độc đáo, làm từ da bò dập vân da cá sấu. Vẻ ngoài sang trọng và bền bỉ, mang đến sự tự tin
Cáp mạng Ethernet Cat7 Vention có khả năng truyền dữ liệu với tốc độ lên tới 10Gbps trên 100m cáp. Được làm từ 4 cặp dây đồng xoắn chống nhiễu (SFTP) với hai đầu nối
- Hỗ trợ chuẩn 2.5GBASE-T tốc độ lên đến 2.5 Gbps, tương thích ngược 1 Gbps và 100 Mbps - Giao diện PCI Express x1 tương thích với hầu hết bo mạch chủ máy tính bàn - Tự động đàm phán tốc độ phù hợp với hệ thống mạng hiện tại - Hỗ trợ chuẩn bảo mật IEEE 802.3bz, 802.3ab, 802.3u, đảm bảo kết nối ổn định - Cổng RJ-45 hỗ trợ dây mạng Cat5e hoặc Cat6 để đạt tốc độ tối đa - Tương thích với Windows 11/10/8.1/8/7 và Linux - Kèm theo 2 loại bracket: tiêu chuẩn và low-profile phù hợp nhiều loại case - Cài đặt đơn giản, nhận driver tự động trên hầu hết hệ điều hành LƯU Ý KHI MUA HÀNG Cảm
Giới thiệu về Lọ hoa men hỏa biến dáng chân voi vẽ sen Lọ hoa men hỏa biến dáng chân voi vẽ sen là một tuyệt tác nghệ thuật của Gốm Sứ G&T, được chế
HBR's 10 Must Reads: On Communication The best leaders know how to communicate clearly and persuasively. How do you stack up?If you read nothing else on communicating effectively, read these 10 articles. We’ve combed through
Bình đun siêu Braun WK1100BK - Công suất: 2200W – Dung tích: 1.7L - Chất liệu: Nhựa, an toàn với thực phẩm (BPA free) - Đun sôi trong 45s với 200ml - 4 chức năng
GIÁ ĐÃ BAO GỒM VAT Phân phối bởi CTCP ABMA VN 15/2 Đoàn Như Hài, P12, Q4, TPHCM Trọng lượng : 1.1 kg Nồi thuỷ tinh visions: hợp những món hầm, giữ nhiệt lâu, thuỷ
Do Hard Things National Bestseller "In Do Hard Things, Steve Magness beautifully and persuasively reimagines our understanding of toughness. This is a must-read for parents and coaches and anyone else looking to prepare for life's
Ghế bô cho người khuyết tật Lucass G-90 là một thiết bị hỗ trợ tiện lợi dành cho người già, người bệnh hoặc những người gặp khó khăn trong việc di chuyển. Đặc điểm nổi
Thành phần Viên uống Welson For Men Tăng Cường Sinh Lý Nam (Hộp 60Viên) có thành phần bao gồm: Bột chiết xuất của Maca, Dầu cám gạo, Saw Palmetto (Cọ lùn), Oyster (Chiết xuất từ
Thông tin sản phẩm - KINGSPORT - 39881B-1 Bộ bóng rổ treo cửa điện tử (KT 43x38x67cm) - Chất liệu: Nhựa - Sản phẩm của Thương hiệu KINGSPORT × ndbooks Với đa dạng mẫu, giúp
Thành phần: Nước, đường mía, chất tạo ngọt nhân tạo (INS 965 (ii), INS 950, INS 955), chất điều chỉnh độ acid (INS 330, INS 331 (ii), INS 296, INS 270), Taurine (6130 mg/L), hương
Thành phần: Nước, đường mía, chất tạo ngọt nhân tạo (INS 965 (ii), INS 950, INS 955), chất điều chỉnh độ acid (INS 330, INS 500 (ii), INS 331 (ii), INS 296), Taurine (6200 mg/L),
Thành phần: Nước, đường mía, chất tạo ngọt nhân tạo (INS 965 (ii), INS 950, INS 955), chất điều chỉnh độ acid (INS 330, INS 500 (ii)), Taurine (7720 mg/L), hương liệu trái cây tổng
Thành Phần Thành phần cấu tạo: Thành phần mỗi ống 10ml chứa: Chiết xuất từ thực vật 15:100, bao gồm: 450mg kế sữa (Silybum marianum Gaertn.) 450mg lá hương thảo (Rosmarinus officinalis L.) 300mg cúc hoa vàng (Chrysanthellum
BÚT CẢM ỨNG WIWU PENCIL S-04 – VIẾT MƯỢT, VẼ CHUẨN, TỪ TÍNH TIỆN LỢI Thiết kế cao cấp: Thân bút bằng kim loại + ABS, cầm chắc tay, sang trọng. Gắn nam châm tiện
Vòng tay làm bằng chất liệu cáp siêu nhẹ, chắc chắn, bền màu, có nút tăng chỉnh thuận tiện khi đeo Lu thống cẩm thạch sơn thủy hoàn toàn từ thiên nhiên, chưa qua bất
Vòng Tay Tóc Đen 7ly (7mm) Vip - độ trợ sức khoẻ, tình duyên, tài lộc - tránh Tam Tai, Thái Tuế và các sao xấu Nguyễn Văn Hà Add: Số 100 Ngô Quyền, P.
THÔNG TIN SẢN PHẨM: - Thương hiệu: Campingmoon - Xuất xứ: Trung Quốc - Kích thước đèn: 5 x 5 x 11.6 cm - Kích thước túi đựng: 15.5 x 6.5 x 6 cm -